• 書籍紹介
    • 関税分類 有機化合物の基礎 付記
  • 関税分類 有機化合物の基礎
    • 関税率表第29類の概要
    • 第29類 有機化学品 品目番号
    • 化学接頭辞・接尾辞・用語
    • 通関実務
  • 他法令に関する通知等
    • 新たに追加された指定薬物の取扱いについて
    • 毒物及び劇物指定令の一部を改正する政令について
  • 22222 の 化学商品
    • CAS 番号検索
  • プライバシーポリシー
  1. ホーム
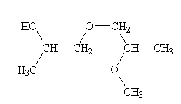
  2. 2909.49

2909.49CAS の一覧

CAS:68439-50-9

CAS:68439-50-9

2909.49
CAS:13429-07-7

CAS:13429-07-7

2909.49
CAS:103909-75-7

CAS:103909-75-7

2909.49
CAS:2290536-28-4

CAS:2290536-28-4

2909.49
CAS:341524-89-8

CAS:341524-89-8

2909.49
CAS:302904-82-1

CAS:302904-82-1

2909.49
CAS:176098-88-7

CAS:176098-88-7

2909.49
CAS:147993-63-3

CAS:147993-63-3

2909.49
CAS:128607-22-7

CAS:128607-22-7

2909.49
CAS:120547-52-6

CAS:120547-52-6

2909.49
記事をもっと見る
1 2 … 11 次へ »

上へ戻る
Copyright© 2025-2026 関税分類 有機化合物の基礎 all right reserved