メニュー
書籍紹介
関税分類 有機化合物の基礎 付記
関税分類 有機化合物の基礎
関税率表第29類の概要
第29類 有機化学品 品目番号
化学接頭辞・接尾辞・用語
通関実務
他法令に関する通知等
新たに追加された指定薬物の取扱いについて
毒物及び劇物指定令の一部を改正する政令について
22222 の 化学商品
CAS 番号検索
プライバシーポリシー
検 索
ホーム
2920.24
2920.24CAS の一覧
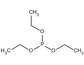
CAS:122-52-1
2920.24