• 書籍紹介
    • 関税分類 有機化合物の基礎 付記
  • 関税分類 有機化合物の基礎
    • 関税率表第29類の概要
    • 第29類 有機化学品 品目番号
    • 化学接頭辞・接尾辞・用語
    • 通関実務
  • 他法令に関する通知等
    • 新たに追加された指定薬物の取扱いについて
    • 毒物及び劇物指定令の一部を改正する政令について
  • 22222 の 化学商品
    • CAS 番号検索
  • プライバシーポリシー
  1. ホーム
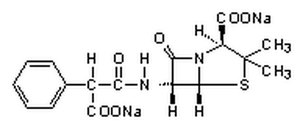
  2. 2941.10

2941.10CAS の一覧

CAS:7177-50-6

CAS:7177-50-6

2941.10
CAS:7081-44-9

CAS:7081-44-9

2941.10
CAS:4800-94-6

CAS:4800-94-6

2941.10
CAS:4697-36-3

CAS:4697-36-3

2941.10
CAS:985-16-0

CAS:985-16-0

2941.10
CAS:551-16-6

CAS:551-16-6

2941.10
CAS:69-57-8

CAS:69-57-8

2941.10
CAS:69-53-4

CAS:69-53-4

2941.10
CAS:69-53-3

CAS:69-53-3

2941.10
CAS:66-79-5

CAS:66-79-5

2941.10
次のページへ
« 前へ 1 2 3 次へ »

上へ戻る
Copyright© 2025-2026 関税分類 有機化合物の基礎 all right reserved