• 書籍紹介
    • 関税分類 有機化合物の基礎 付記
  • 関税分類 有機化合物の基礎
    • 関税率表第29類の概要
    • 第29類 有機化学品 品目番号
    • 化学接頭辞・接尾辞・用語
    • 通関実務
  • 他法令に関する通知等
    • 新たに追加された指定薬物の取扱いについて
    • 毒物及び劇物指定令の一部を改正する政令について
  • 22222 の 化学商品
    • CAS 番号検索
  • プライバシーポリシー
  1. ホーム
  2. 3907.20

3907.20CAS の一覧

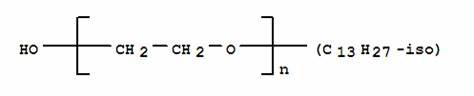
CAS:166736-08-9

CAS:166736-08-9

3907.20
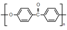
CAS:126901-56-2

CAS:126901-56-2

3907.20
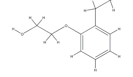
CAS:121115-58-0

CAS:121115-58-0

3907.20
CAS:84170-74-1

CAS:84170-74-1

3907.20
CAS:69011-36-5

CAS:69011-36-5

3907.20
CAS:66455-31-0

CAS:66455-31-0

3907.20
CAS:60828-78-6

CAS:60828-78-6

3907.20
CAS:52408-84-1

CAS:52408-84-1

3907.20
CAS:51811-79-1

CAS:51811-79-1

3907.20
CAS:39587-22-9

CAS:39587-22-9

3907.20
記事をもっと見る
1 2 … 4 次へ »

上へ戻る
Copyright© 2025-2026 関税分類 有機化合物の基礎 all right reserved