• 書籍紹介
    • 関税分類 有機化合物の基礎 付記
  • 関税分類 有機化合物の基礎
    • 関税率表第29類の概要
    • 第29類 有機化学品 品目番号
    • 化学接頭辞・接尾辞・用語
    • 通関実務
  • 他法令に関する通知等
    • 新たに追加された指定薬物の取扱いについて
    • 毒物及び劇物指定令の一部を改正する政令について
  • 22222 の 化学商品
    • CAS 番号検索
  • プライバシーポリシー
  1. ホーム
  2. 3912.90

3912.90CAS の一覧

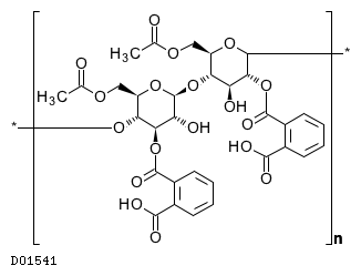
CAS:9004-36-8

CAS:9004-36-8

3912.90
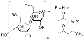
CAS:9004-38-0

CAS:9004-38-0

3912.90
« 前へ 1 2

上へ戻る
Copyright© 2025-2026 関税分類 有機化合物の基礎 all right reserved