• 書籍紹介
    • 関税分類 有機化合物の基礎 付記
  • 関税分類 有機化合物の基礎
    • 関税率表第29類の概要
    • 第29類 有機化学品 品目番号
    • 化学接頭辞・接尾辞・用語
    • 通関実務
  • 他法令に関する通知等
    • 新たに追加された指定薬物の取扱いについて
    • 毒物及び劇物指定令の一部を改正する政令について
  • 22222 の 化学商品
    • CAS 番号検索
  • プライバシーポリシー
  1. ホーム
  2. タグ : na

naCAS の一覧

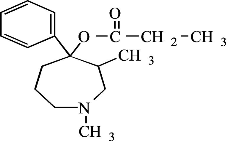
CAS:72-44-6

CAS:72-44-6

2933.55
CAS:76-41-5

CAS:76-41-5

2939.11
CAS:76-42-6

CAS:76-42-6

2939.11
CAS:76-57-3

CAS:76-57-3

2939.11
CAS:76-58-4

CAS:76-58-4

2939.11
CAS:76-73-3

CAS:76-73-3

2933.53
CAS:76-74-4

CAS:76-74-4

2933.53
CAS:77-10-1

CAS:77-10-1

2933.33
CAS:77-14-5

CAS:77-14-5

2933.99
CAS:60-29-7

CAS:60-29-7

2909.11
次のページへ
« 前へ 1 … 36 37 38 … 40 次へ »

上へ戻る
Copyright© 2025-2026 関税分類 有機化合物の基礎 all right reserved